业务咨询
关键词
痴呆症;β-淀粉样蛋白;神经营养因子;细胞因子;亚硝酸盐;乙酰胆碱;斑马鱼
摘要
阿尔茨海默病(AD)是最常见的痴呆症类型,属于进行性脑部神经退行性疾病。大多数 AD 实验动物模型为药物诱导型或转基因型。现有的 AD 药物研发方法尚不完善,且多数无法完全复刻疾病病理特征。开发经济高效且可靠的实验动物模型将填补这一研究空白。斑马鱼(ZF)因与人类具有同源相似性且成本低廉,正逐渐成为评估中枢神经系统(CNS)疾病的强大药物研发疾病模型。本研究旨在利用氯化铝(AlCl₃)开发并评估一种可靠的斑马鱼 AD 模型。斑马鱼慢性暴露于 0.04 mM 氯化铝 28 天后,大脑中 β-淀粉样蛋白表达增加、tau 蛋白磷酸化水平上升,并出现老年斑。这些变化与学习记忆障碍相关。此外,暴露于氯化铝的斑马鱼大脑中,脑源性神经营养因子(BDNF)水平降低,氧化应激指标、促炎细胞因子水平及乙酰胆碱酯酶(AChE)活性升高。慢性暴露于 0.04 mM 氯化铝可构建经济高效的斑马鱼 AD 模型,适用于药物筛选,也可用于揭示该疾病神经病理机制的分子基础。
1. 引言
阿尔茨海默病(AD)是一种与年龄相关的疾病,通过引发痴呆症影响全球数百万人,尤其以老年人群为主。AD 定义为大脑神经元进行性丧失,导致记忆衰退及其他认知功能障碍(Falsetti 等人,2022 年)。细胞外基质中 β-淀粉样蛋白(Aβ)斑块沉积和细胞内微管结合蛋白 tau 形成的磷酸化神经原纤维缠结(NFT)是 AD 的神经病理特征。这些老年斑和神经原纤维缠结会阻碍神经元信号传导,最终导致神经元凋亡和细胞死亡(Wegmann 等人,2021 年)。
AD 实验动物模型对于深入了解病因和分子病理生理学至关重要。由于 AD 的神经生物学机制尚未完全明确,这些模型可用于临床前研究,以评估新型治疗药物的潜力(Cacabelos 等人,2021 年)。毫无疑问,在动物(包括转基因动物)中构建疾病模型的能力推动了生物医学研究各领域的重大进展(Tai 等人,2021 年)。已开发多种小鼠模型用于阐明 AD 发病机制,但多数为转基因模型,这些模型会导致 β-淀粉样蛋白前体蛋白(APP)过表达,不仅增加 Aβ₁₋₄₀和/或 Aβ₁₋₄₂的合成,还会升高其他 APP 片段水平,这些片段可能具有神经保护、神经毒性或信号传导活性,并影响学习和认知功能(O’Brien 和 Wong,2011 年)。类似地,其他转基因小鼠模型(包括早老素 1(PSEN1)和早老素 2(PSEN2))虽显示 Aβ₁₋₄₂/Aβ₁₋₄₀比值升高,但未能表现出老年斑病理特征、神经原纤维缠结及持续的记忆症状和行为异常。新一代表达人类家族性 APP/PSEN 的双转基因小鼠虽呈现多数 AD 病理特征,但仍未出现神经原纤维缠结(Sanchez-Varo 等人,2022 年)。随后,将 APP 突变小鼠与 tau 突变小鼠杂交,成功获得了具有神经原纤维缠结病理特征的模型(Pang 等人,2022 年)。目前已存在其他补充性转基因模型,但这些模型均存在成本较高和实验周期长等缺点。
斑马鱼(Danio rerio)被引入神经科学领域后,逐渐成为研究中枢神经系统疾病的有力工具。其具有体型小、行为稳健易观察、基因组完全测序、基因操作精准、可进行高通量筛选(HTS)、受精速度快、体外发育、繁殖力强、胚胎透明及饲养成本低等优势(Nadig 等人,2022 年)。近年来,斑马鱼正成为 AD 模型生物,包括药物诱导模型和转基因模型(如载脂蛋白 E(ApoE)、APP、PSEN 和 tau 相关模型)(Kiper 和 Freeman,2022 年)。然而,这些模型均未能精确复现 AD 的分子病理生理学特征,目前仍缺乏一种能同时复刻 AD 行为学和分子学所有特征的模型。
本研究基于硝基氧化应激、神经炎症和胆碱能功能障碍假说,利用氯化铝(AlCl₃)构建并评估药物诱导的斑马鱼 AD 模型。这是一种新型斑马鱼 AD 诱导方法,涵盖了 AD 相关的多数病理生理特征。该模型中 β- 淀粉样蛋白片段的变化被认为是老年斑和神经原纤维的主要组成部分,而这两者均为 AD 的标志性特征。AD 的所有这些神经病理改变均与氧化应激、胆碱能功能障碍和神经炎症相关。
2. 材料与方法
2.1 斑马鱼饲养
斑马鱼饲养遵循美国国立卫生研究院(NIH)院内研究项目斑马鱼使用指南及《斑马鱼手册》。成年野生型斑马鱼(7-9 月龄)购自印度孟买 Vikrant 水产养殖公司,在印度迈索尔 JSS 药学院园区内饲养。根据先前描述的指南,斑马鱼在 25±2℃环境中适应 10 天,光照周期为每日 14 小时光照、10 小时黑暗。斑马鱼每日定时投喂微颗粒饲料两次,通过监测其营养状况和行为活动确保健康。实验选用体重 0.3g 左右的健康斑马鱼。
2.2 毒性半数致死浓度(LC₅₀)测定
根据经济合作与发展组织(OECD)标准,进行急性毒性试验以确定氯化铝的半数致死浓度(LC₅₀)。随机选取成年斑马鱼(n=7),饲养于 2L 水族箱中,分别加入溶剂或不同浓度的氯化铝溶液。采用概率单位分析法计算氯化铝的 LC₅₀(OECD,2019 年)。
2.3 氯化铝处理
将体重 0.3-0.5g 的健康成年斑马鱼分别暴露于 0(对照组)、0.02 和 0.04 mM 的氯化铝溶液中(1L 鱼缸),持续 28 天,每日更换暴露液。
2.4 运动活性检测
氯化铝处理后,记录斑马鱼的运动活性,包括速度、移动距离、探索率和总静止时间,采用 Tox-Trac 追踪软件进行分析(Rodriguez 等人,2018 年)。
2.5 神经认知评估
采用 T 型迷宫试验和颜色识别试验评估斑马鱼的神经认知能力:颜色识别试验用于检测空间记忆功能(Dubey 等人,2015 年),T 型迷宫试验用于评估认知功能(Rishitha 和 Muthuraman,2018 年)。
2.6 生化指标测定
行为学检测完成后,将斑马鱼置于 4℃冰水中麻醉,直至鳃盖运动消失。随后使用显微解剖工具和镊子立即分离大脑样本,并在 - 4℃下冷冻干燥。取 0.1g 斑马鱼大脑样本,按 1:10 比例加入磷酸盐缓冲盐水(pH 7.4),使用 FastPrep-24™经典珠磨式研磨仪和裂解系统匀浆。匀浆物在 10,000g 下离心 15 分钟,收集上清液用于测定多种生物标志物,包括还原型谷胱甘肽(GSH)、丙二醛(MDA)、过氧化氢酶(CAT)和乙酰胆碱酯酶(AChE)活性水平。
2.6.1 过氧化氢酶(CAT)活性
按照 Claiborne(1985 年)描述的方法测定 CAT 活性。反应体系包含 190μL 磷酸盐缓冲液(50 mM,pH 7)、100μL 过氧化氢(H₂O₂)和 10μL 组织上清液。在 30 秒间隔内监测 3 分钟内的吸光度变化,使用酶标仪(MULTISKAN Sky-high,赛默飞世尔科技)在 240 nm 处记录吸光度。CAT 活性以每分钟每毫克蛋白质水解的 H₂O₂皮摩尔数表示(Claiborne,1985 年)。
2.6.2 还原型谷胱甘肽(GSH)含量
取 500μL 脑组织上清液与 1mL 三氯乙酸(TCA,5%)混合,在 40℃下孵育 1 小时,随后在 4℃、3000 rpm 下离心 10 分钟。取 200μL 上清液,与 1.8mL 磷酸盐缓冲液(0.1M,pH 7)和 50μL 二硫代二硝基苯甲酸(DTNB,20 mM)组成的反应体系在室温下孵育 5 分钟。使用酶标仪(MULTISKAN Sky-high,赛默飞世尔科技)在 412 nm 处测定黄色产物的吸光度,GSH 含量以每毫克蛋白质的微摩尔数表示(Jollow 等人,1974 年)。
2.6.3 脂质过氧化(LPO)水平
通过测定硫代巴比妥酸反应性物质(TBRS)评估脂质过氧化水平(Wright 等人,1981 年)。反应体系包含 500μL 三氯乙酸(TCA,10%)、500μL 硫代巴比妥酸(TBA,0.8%)和 200μL 十二烷基硫酸钠(SDS,8%),与 500μL 组织上清液在水浴中加热 1 小时。冷却后,将形成的加合物转移至正丁醇溶液中,在 3000 rpm 下离心 15 分钟。使用酶标仪在 512 nm 处测定上清液吸光度,活性以丙二醛(MDA)当量表示。
2.6.4 乙酰胆碱酯酶(AChE)活性
按照 Ellman 等人(1961 年)的方法测定 AChE 活性。反应体系包含 135μL 双蒸水、20μL 磷酸钾缓冲液(0.1M,pH 7.4)、20μL DTNB(20 mM)和 5μL 组织样本。加入 20μL 乙酰硫代胆碱作为启动剂,在 30 秒间隔内监测 3 分钟内的吸光度变化,使用酶标仪(MULTISKAN Sky-high,赛默飞世尔科技)在 412 nm 处记录吸光度。AChE 活性以每分钟每毫克蛋白质水解的乙酰胆碱微摩尔数表示(Pohanka 等人,2011 年)。
2.6.5 蛋白质含量测定
按照 Lowry 等人(1951 年)的方法,以牛血清白蛋白(BSA)为标准品测定脑组织样本中的蛋白质含量。
2.7 亚硝酸盐水平测定
将上清液与 0.2mL 格里斯试剂混合。硝酸盐转化为亚硝酸盐后形成紫色偶氮化合物,采用分光光度法在 546 nm 处测定吸光度。结果以每毫克蛋白质的纳摩尔数表示(Sun 等人,2003 年)。
2.8 复合体 I 活性测定
将斑马鱼大脑样本在匀浆介质(0.2M 甘露醇、0.075M 蔗糖、0.01% BSA、1 mM EGTA,pH 调至 7)中匀浆。匀浆物在 4℃、1000 rpm 下离心 5 分钟,收集上清液并在 4℃、12000 rpm 下再次离心 5 分钟。沉淀用匀浆介质冲洗后,在 4℃、12000 rpm 下离心 5 分钟。随后,将沉淀中的线粒体部分溶解在 MAITE 缓冲液(100 mM KCl、25 mM 蔗糖、75 mM 山梨醇、5 mM 氯化镁、10 mM 三羟甲基氨基甲烷 - 盐酸、0.05 mM 乙二胺四乙酸和 10 mM 磷酸)中,在 4℃、12000g 下离心 6 分钟。用 500μL MAITE 缓冲液重悬最终沉淀。以牛血清白蛋白为参照,采用 Lowry 法测定线粒体蛋白质含量。
复合体 I(NADH 泛醌还原酶)活性通过监测复合体 I 利用辅酶 Q10 类似物癸基泛醌(dUb)作为电子受体氧化 NADH 的过程进行评估(Birch-Machin 等人,1989 年)。向 300μg 线粒体蛋白质中加入 300μL 反应混合液(含 5 mM 氯化镁、0.65 mg/mL 氰化钾、20 mM 磷酸二氢钾、25 mg/mL 脱脂 BSA、0.5 mg/mL 抗霉素和 4.19 mg/mL dUb,以及二甲基亚砜或 2.5 mM 氯化铝),总体积为 950μL。反应混合液孵育 3 分钟后,缓慢加入 1.9 mg/mL NADH。通过分光光度法监测 2 分钟内 340 nm 处 NADH 吸光度的降低,评估 NADH 氧化水平(Xiao 等人,2022 年)。
2.9 神经递质乙酰胆碱含量测定
将斑马鱼大脑样本用冰浴甲醇匀浆,在 4℃、10000 rpm 下离心 15 分钟,收集上清液。取 10μL 上清液注入高效液相色谱(HPLC)柱(C18 LC-20AD,柱长 250×4.6 mm),采用紫外检测器在 280 nm 处监测,流速为 1 mL / 分钟,流动相由甲醇和乙腈(70:30)组成。通过与标准乙酰胆碱对比进行定性分析。标准神经递质乙酰胆碱溶解在甲醇中,浓度分别为 2、4、6、8 和 10μg/mL(Nadig 等人,2022 年)。
2.10 神经营养因子和促炎细胞因子测定
采用酶联免疫吸附试验(ELISA)试剂盒测定匀浆后的斑马鱼脑组织中神经营养因子(BDNF)和促炎细胞因子(肿瘤坏死因子 -α(TNF-α)、白细胞介素-1β(IL-1β)和白细胞介素-6(IL-6))的水平。试剂盒购自 Cloud-Clone 公司,实验操作遵循制造商说明书。根据相应标准品(浓度范围 15.6-1000 pg/mL)的标准曲线计算 BDNF 和促炎细胞因子的浓度,结果以每微克总蛋白质的皮克数表示。
2.11 免疫组织化学检测
斑马鱼大脑切片孵育约 20 分钟后,用 1× 磷酸盐缓冲盐水(PBS)冲洗,使用 10 mM 柠檬酸盐缓冲液(pH=6.0)在高压锅中抗原修复 4 分钟,随后在室温下冷却 10 分钟。为提高通透性,将大脑切片置于含 1% 曲拉通 X-100 的 1×PBS 缓冲液中处理 30 分钟,再用 1×PBS 冲洗。切片在室温下用 3% IV 级牛血清白蛋白(RPI 公司,美国伊利诺伊州芒特普罗斯佩克特)封闭 1 小时。加入小鼠单克隆抗酪氨酸羟化酶(TH)一抗(1:500,Millipore 公司,美国加利福尼亚州),4℃孵育过夜,特异性检测表达 TH 的 CA 神经元。采用 Alexa 标记的山羊抗小鼠二抗(Invitrogen 公司)识别 TH 阳性细胞。使用蔡司 LSM 510 META 共聚焦显微镜记录斑马鱼大脑的连续 Z-stack 图像。
2.12 组织病理学检测
最后一次行为学评估后,将斑马鱼断头,分离大脑,采用尼氏(甲苯胺蓝)染色观察前脑解剖结构。将冠状大脑切片置于二甲苯中 20 分钟以去除组织脂质,随后依次在 100%、95%、75% 和 50% 乙醇及双蒸水中复水,每次洗涤 3 分钟,然后在 0.5% 甲苯胺蓝染色液中染色约 5 分钟。染色后,切片用双蒸水快速冲洗,在 75% 乙醇中分化 2-30 分钟。最后,切片在 95% 和 100% 乙醇中各脱水 20 秒,在二甲苯中浸泡两次(每次 10 分钟),用 DPX 封片,室温下过夜干燥。通过显微镜观察染色切片,研究斑马鱼大脑神经元的形态和分布。
2.13 统计学分析
采用单因素方差分析(ANOVA)结合 Tukey 事后检验进行组间多重比较。结果以平均值 ± 标准误(Mean±SEM)表示,使用 SPSS 20.0 版本进行分析。P<0.05 被认为具有统计学意义。采用皮尔逊相关系数(r)分析行为学参数与生化参数之间的相关性。
3. 结果
3.1 氯化铝的半数致死浓度(LC₅₀)
记录氯化铝暴露 24、48、72 和 96 小时后的斑马鱼死亡率。96 小时时,氯化铝处理组斑马鱼的 LC₅₀为 0.2 mM/L。对照组斑马鱼未出现任何临床症状,如游泳行为明显改变、静止不动或死亡。
3.2 运动活性
为评估氯化铝暴露是否产生累积效应,在第 7、14、21 和 28 天分别检测斑马鱼的行为模式。运动活性结果显示,0.04 mM 氯化铝处理 28 天的斑马鱼,其总移动距离(F₍₄.₂₅₎=29.83,P<0.05;表 1)和平均速度(F₍₄.₂₅₎=29.83,P<0.05;表 1)较对照组显著降低。此外,暴露 21 天后,0.02 mM 和 0.04 mM 氯化铝处理组斑马鱼的静止时间较对照组显著延长(F₍₄.₂₅₎=107.47,P<0.05)。
3.3 明暗箱试验
采用明暗箱试验评估斑马鱼的焦虑样和抑郁样行为。0.02 mM 和 0.04 mM 氯化铝处理 28 天的斑马鱼,在明箱中的停留时间显著减少(F₍₄.₂₅₎=190.70,P<0.05;图 1A),而进入暗箱的次数显著增加(F₍₄.₂₉₎=49.56,P<0.05;图 1B),与对照组相比差异具有统计学意义。
图 1 氯化铝暴露对明暗箱试验的影响(TSLC:明箱停留时间;NEDC:暗箱进入次数)。数据以平均值 ± 标准误表示,n=8。a P<0.05,与第 7 天对照组相比;b P<0.05,与第 14 天对照组相比;c P<0.05,与第 21 天对照组相比;d P<0.05,与第 28 天对照组相比。
3.4 T 型迷宫试验
采用 T 型迷宫试验检测斑马鱼的空间记忆能力。0.02 mM 和 0.04 mM 氯化铝处理 28 天的斑马鱼,其转移潜伏期显著延长(F₍₄.₂₅₎=9.42,P<0.05;图 2A),目标箱偏好性显著降低(F₍₄.₂₅₎=205.56,P<0.05;图 2B),与对照组相比差异具有统计学意义。
图 2 氯化铝暴露对 T 型迷宫试验的影响(TL:转移潜伏期;TCP:目标箱偏好性)。数据以平均值 ± 标准误表示,n=8。a P<0.05,与第 7 天对照组相比;b P<0.05,与第 14 天对照组相比;c P<0.05,与第 21 天对照组相比;d P<0.05,与第 28 天对照组相比。
3.5 复合体 I 活性
氯化铝暴露 7 天和 14 天的斑马鱼,其线粒体复合体 I 活性无显著变化。然而,0.02 mM 和 0.04 mM 氯化铝暴露 21 天和 28 天的组别,复合体 I 活性较对照组显著降低(F₍₁₁.₂₄₎=66.98,P<0.05;图 3)。
图 3 氯化铝暴露对复合体 I 活性的影响数据以平均值 ± 标准误表示,每组 n=8 条斑马鱼。a P<0.05,与第 7 天对照组相比;b P<0.05,与第 14 天对照组相比;c P<0.05,与第 21 天对照组相比;d P<0.05,与第 28 天对照组相比。
3.6 过氧化氢酶(CAT)、还原型谷胱甘肽(GSH)、脂质过氧化(LPO)和亚硝酸盐水平
0.02 mM 和 0.04 mM 氯化铝暴露 14 天内,斑马鱼的 CAT 和 GSH 活性无显著变化。而暴露 21 天和 28 天的两组斑马鱼,CAT(F₍₁₁.₂₄₎=104.22,P<0.05;表 2)和 GSH(F₍₁₁.₂₄₎=697.20,P<0.05;表 2)活性较对照组显著降低。
7 天处理组的丙二醛(MDA)含量无显著变化;而 14、21 和 28 天暴露于两种浓度氯化铝的组别,MDA 活性较对照组显著升高(F₍₁₁.₂₄₎=214.56,P<0.05;表 2)。类似地,氯化铝暴露 7 天和 14 天的斑马鱼亚硝酸盐水平无显著变化,但 0.02 mM 和 0.04 mM 氯化铝暴露 21 天和 28 天的组别,亚硝酸盐水平较对照组显著升高(F₍₁₁.₂₄₎=98.53,P<0.05)。
3.7 乙酰胆碱酯酶(AChE)活性
0.04 mM 氯化铝暴露 7、14、21 和 28 天的斑马鱼,其 AChE 活性较对照组均升高。而 0.02 mM 氯化铝暴露 28 天的斑马鱼,AChE 活性较对照组显著升高(F₍₁₁.₂₄₎=207.71,P<0.05;图 4)。
图 4 氯化铝暴露对斑马鱼大脑乙酰胆碱酯酶活性的影响数据以平均值 ± 标准误表示,每组 n=8 条斑马鱼。a P<0.05,与第 7 天对照组相比;b P<0.05,与第 14 天对照组相比;c P<0.05,与第 21 天对照组相比;d P<0.05,与第 28 天对照组相比。
3.8 神经递质乙酰胆碱含量
氯化铝暴露 7 天和 14 天的斑马鱼,其神经递质乙酰胆碱水平无显著变化。而 0.02 mM 和 0.04 mM 氯化铝暴露 28 天的组别,乙酰胆碱水平较对照组显著降低(F₍₁₁.₂₄₎=125.3,P<0.05;图 5)。
图 5 氯化铝暴露对斑马鱼大脑神经递质乙酰胆碱水平的影响数据以平均值 ± 标准误表示,每组 n=8 条斑马鱼。a P<0.05,与第 7 天对照组相比;b P<0.05,与第 14 天对照组相比;c P<0.05,与第 21 天对照组相比;d P<0.05,与第 28 天对照组相比。
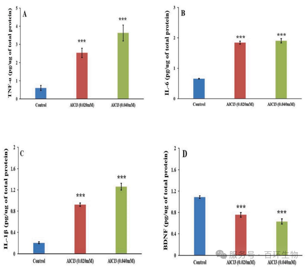
3.9 酶联免疫吸附试验(ELISA)检测 BDNF、TNF-α、IL-1β 和 IL-6 水平
0.02 mM 和 0.04 mM 氯化铝暴露 28 天的斑马鱼,其促炎细胞因子 TNF-α(F₍₂.₆₎=261.33,P<0.05;图 6A)、IL-6(F₍₂.₆₎=183.43,P<0.05;图 6B)和 IL-1β(F₍₂.₆₎=362.12,P<0.05;图 6C)水平显著升高,而神经营养因子 BDNF 水平显著降低(F₍₂.₆₎=432.40,P<0.05;图 6D),与对照组相比差异具有统计学意义。
图 6 氯化铝慢性暴露对斑马鱼诱导 AD 样症状的影响(促炎细胞因子:A.TNF-α、B.IL-6、C.IL-1β;神经营养因子:D.BDNF)数据以平均值 ± 标准误表示,n=3。与第 28 天对照组相比,*P<0.05,**P<0.01,***P<0.001。
3.10 β- 淀粉样蛋白(Aβ)片段、磷酸化 tau(p-Tau)表达及老年斑形成
Aβ 片段沉积、tau 蛋白过度磷酸化和老年斑形成是 AD 的标志性特征。为验证氯化铝处理的斑马鱼 AD 模型是否能表现出这些特征,检测并比较了对照组和处理组的 Aβ 片段、p-Tau 表达及老年斑形成情况。对照组中仅发现少量 Aβ 免疫反应性细胞,且为单细胞形式;而随着氯化铝浓度升高,Aβ 沉积水平增加,斑块内的单细胞神经元开始形成分支(图 7C)。同时,在 Aβ 片段沉积的神经元中发现 p-Tau 蛋白水平升高,且与斑块形成增加相关。因此,随着氯化铝浓度升高,观察到广泛的老年斑形成(图 7G)。
图 7 斑马鱼 AD 端脑连续切片中 β- 淀粉样蛋白(Aβ)和磷酸化 tau(p-Tau)免疫反应性细胞的分布免疫组织化学检测 Aβ(A. 对照组、B.0.02 mM 氯化铝组、C.0.04 mM 氯化铝组)和 p-Tau(E. 对照组、F.0.02 mM 氯化铝组、G.0.04 mM 氯化铝组)。橙色箭头指示 Aβ 蛋白过表达,黑色箭头指示 p-Tau 蛋白过表达。
3.11 组织病理学检测
对照组大脑组织的组织病理学分析显示,中性粒细胞和神经元结构正常(图 8A)。0.02 mM 氯化铝暴露组斑马鱼的视顶盖区域出现颗粒细胞轻度变性和脱落(图 8B)。0.04 mM 氯化铝暴露组斑马鱼的端脑出现脱髓鞘病灶和坏死(图 8C)。此外,与对照组相比,两种浓度氯化铝(0.02 mM 和 0.04 mM)暴露 28 天的组别,神经元总数显著减少(F₍₂.₆₎=329.70,P<0.001;图 9)。
图 8 尼氏染色显示的斑马鱼大脑神经元结构(A. 对照组、B.0.02 mM 氯化铝组、C.0.04 mM 氯化铝组)
图 9 氯化铝慢性暴露对斑马鱼诱导 AD 样症状的影响(神经细胞计数)数据以平均值 ± 标准误表示,n=3。*P<0.05,**P<0.01,***P<0.001。
采用皮尔逊相关系数(r)分析行为学参数(运动活性和空间记忆)与生化参数(氧化应激标志物、乙酰胆碱酯酶、乙酰胆碱和亚硝酸盐水平)之间的线性相关性。结果显示,脂质过氧化(LPO)与线粒体复合体 I 活性(n=8,r=-0.952,P<0.001;图 10B)、LPO 与 GSH(n=8,r=-0.884,P<0.001;图 10A)、暗箱进入次数(NEDC)与明箱停留时间(TSLC)(n=8,r=-0.815,P<0.001;图 11A)以及 AChE 与线粒体复合体 I 活性(n=8,r=-0.733,P<0.001;图 10C)均呈高度负相关。皮尔逊相关系数为负值表明,膜脂质过氧化水平升高与线粒体复合体 I 活性和抗氧化剂水平降低相关;AChE 活性升高与认知功能和抗氧化剂水平降低相关。
此外,AChE 与亚硝酸盐(n=8,r=0.737,P<0.001;图 10D)、移动距离与速度(n=8,r=0.664,P<0.001;图 11C)、NEDC 与静止时间(n=8,r=0.641,P<0.001;图 11B)以及速度与静止时间(n=3,r=0.441,P<0.001;图 11D)均呈显著正相关。皮尔逊相关系数为正值表明,AChE 活性升高与亚硝酸盐水平升高相关;运动活性降低与认知功能下降相关。
图 10 生化参数之间的相关性分析(皮尔逊相关,n=8)(A.LPO 与 GSH;B.LPO 与复合体 I 活性;C.AChE 与复合体 I 活性;D.AChE 与亚硝酸盐)
图 11 行为学参数之间的相关性分析(皮尔逊相关,n=8)(A.NEDC 与静止时间;B.NEDC 与 TSLC;C. 总距离与速度;D. 速度与静止时间)
4. 讨论
本研究旨在通过将斑马鱼暴露于不同浓度氯化铝 28 天,构建药物诱导的斑马鱼 AD 模型。随着氯化铝暴露浓度增加,斑马鱼表现出 AD 的主要病理特征。病理生理学变化首先表现为形态学改变,包括 0.02 mM 和 0.04 mM 氯化铝暴露 28 天的斑马鱼出现运动、记忆和学习缺陷。
斑马鱼具有与包括人类在内的多种哺乳动物相似的神经调节系统(包括受体、酶、神经递质和转运体)、大脑总体结构和组织(包括嗅球、外侧大脑皮层和下丘脑)(Nadig 等人,2022 年),但前脑的大小和组织存在差异。值得注意的是,氯化铝处理的斑马鱼大脑皮层区域发生变化,该区域与海马体相似或同源。
铝(Al)是地壳中含量第三丰富的元素/金属,仅次于氧和硅。铝广泛应用于日常生活的多个方面,包括食品添加剂、燃料、疫苗佐剂、化妆品、炊具和水净化(Verma 和 Lila,2021 年)。研究表明,铝通过转铁蛋白特异性高亲和力受体(TfR)进入细胞,穿过血脑屏障(BBB),在大脑各部位积累,其中在负责学习和记忆形成的海马体中浓度最高(Banks 和 Kastin,1989 年)。铝还可导致神经元凋亡,引发与 AD 相关的神经退行性变(Exley,1999 年;Dey 和 Singh,2022 年)。研究表明,氯化铝可诱导活性氧(ROS)生成,导致线粒体功能障碍,最终引发氧化应激和神经退行性变。此外,氯化铝可激活核因子 κB(NF-κB),调控促炎细胞因子表达,引发神经炎症(Xiao 等人,2022 年)。这些变化会影响神经元结构和大脑信号通路,最终导致认知功能障碍。
我们选择了不同浓度的氯化铝,成功在斑马鱼中构建了 AD 模型。
AD 是最常见的进行性老年性痴呆类型。β-淀粉样蛋白聚集形成老年斑,微管结合蛋白 tau 形成神经原纤维缠结(NFT),这是 AD 的组织学特征(Falsetti 等人,2022 年)。目前尚无单一有效的治疗方法能减缓 AD 进展,这可能与对驱动疾病发生或进展的分子通路了解不完整有关。部分困难也源于缺乏与人类疾病相符的 AD 临床前动物模型(De Felice 和 Munoz,2016 年)。因此,开发和评估临床前动物模型对于深入了解 AD 发病机制以及新型治疗药物的临床前测试至关重要。公认的是,相对较少的物种会出现 AD 相关的认知功能障碍、行为异常和神经病理特征,而斑马鱼便是其中之一。
本研究成功诱导了斑马鱼体内异常的 β-淀粉样蛋白聚集,这与先前氯化铝处理大鼠的研究结果一致。因此,长期暴露于氯化铝会导致广泛的老年斑形成(Abdel-Salam 等人,2021 年)。这些标志性病变可能影响谷氨酸受体、神经元回路过度兴奋和/或突触可塑性信号通路,进而导致神经元和突触损伤(Falsetti 等人,2022 年)。此外,氯化铝暴露还导致 p-Tau 蛋白过表达,这与先前氯化铝处理大鼠的研究结果相符(Singh 等人,2018 年)。tau 蛋白过度磷酸化是 AD 已知的早期独特生化特征,与患者的认知功能障碍密切相关(Wegmann 等人,2021 年)。AD 的一个严重特征是痴呆,表现为学习和记忆障碍。本研究中,与对照组相比,暴露于 0.02 mM 和 0.04 mM 氯化铝 28 天的斑马鱼出现了认知缺陷。
线粒体功能障碍与 AD 发病机制相关(Sharma 等人,2021 年)。根据 AD 的 β-淀粉样蛋白级联假说,β-淀粉样蛋白的异常沉积会引发下游 tau 蛋白病理改变,而这与神经退行性变密切相关。正常神经元中,tau 蛋白主要存在于轴突,参与轴浆运输;tau 蛋白过度磷酸化会导致微管功能障碍,阻碍线粒体轴突运输,引发线粒体功能障碍(Swerdlow 等人,2014 年;Price 等人,2021 年)。本研究中,长期暴露于 0.02 mM 和 0.04 mM 氯化铝会降低斑马鱼大脑中的复合体 I(MC-I)活性。MC-I 是电子传递链(ETC)中的全酶,负责将电子从 NADH 传递至泛醌,对细胞正常功能至关重要。在某些病理条件下,电子传递可能逆转,导致 MC-I 处的氧被还原(Hirst,2013 年),进而引发线粒体功能障碍和活性氧(ROS)生成。ROS 生成增加与内源性抗氧化剂水平降低相关(Fato 等人,2008 年;Zeviani 和 Viscomi,2022 年;Nadiga 等人,2022 年)。本研究结果显示,氯化铝处理组的丙二醛(MDA)表达和活性上调,过氧化氢酶(CAT)和还原型谷胱甘肽(GSH)的表达和活性显著降低,这与先前氯化铝处理大鼠的研究结果相似(Al-Otaibi 等人,2018 年)。
促炎细胞因子增加和炎症反应是神经退行性疾病的核心特征,且与认知功能障碍相关(Thakur 等人,2022 年)。铝通过氧化应激在炎症过程激活中发挥重要作用。铝上调肿瘤坏死因子-α(TNF-α)表达,进而激活转录因子核因子 κB(NF-κB)、丝裂原活化蛋白激酶/激活蛋白 1(MAPK/AP-1)和缺氧诱导因子 1(HIF-1),导致促炎细胞因子生成增加及其信号级联反应激活,从而促进脑细胞炎症过程(Dey 和 Singh,2022 年)。近期研究表明,在小鼠模型中,铝给药可通过上调炎症细胞因子、胶质纤维酸性蛋白(GFAP)和诱导型一氧化氮合酶(iNOS)激活星形胶质细胞(Shenoy 等人,2022 年;Thakur 等人,2022 年)。本研究表明,氯化铝暴露可导致斑马鱼大脑中促炎细胞因子(IL-1β、IL-6 和 TNF-α)显著增加,引发炎症反应。因此,本研究支持先前的研究结果,即在氯化铝诱导的大鼠 AD 模型中观察到促炎细胞因子表达增加(Justin-Thenmozhi 等人,2018 年)。
促炎细胞因子水平升高会激活 iNOS,进而生成大量一氧化氮(NO)和活性氮氧化物(RNOS)(Heneka 等人,2010 年)。NO 氧化后形成亚硝酸盐,因此亚硝酸盐水平测定是间接评估 NO 水平的方法。由于 NO 半衰期极短,且易与游离氧、自由基离子和氧化还原金属相互作用,直接分析生物样本中的 NO 极具挑战性。因此,亚硝酸盐水平高表明 NO 水平高。NO 与超氧阴离子自由基结合易形成过氧亚硝酸盐,最终导致蛋白质加合物形成和脂质过氧化启动,进而引发神经元死亡(图 12)(Malinski,2007 年)。先前的实验研究已将氧化亚硝化应激增加与认知功能障碍相关联(Malinski,2007 年;Togo 等人,2004 年)。本研究中,与对照组相比,长期暴露于 0.02 mM 和 0.04 mM 氯化铝的斑马鱼亚硝酸盐水平显著升高。因此,本研究结果为氧化亚硝化应激与认知缺陷之间的关联提供了更多证据。
脑源性神经营养因子(BDNF)是神经营养因子家族中的一种多效性蛋白,可促进神经元存活和发育、突触可塑性及认知功能。然而,BDNF 表达和水平降低在 AD 发病机制中起重要作用(Azman 和 Zakaria,2022 年)。本研究结果表明,长期暴露于氯化铝会导致神经营养因子(BDNF)水平显著降低。这与先前的研究结果相似,即在小鼠大脑中,氯化铝给药会引发炎症反应,表现为 BDNF 水平降低、炎症细胞因子和 GFAP(星形胶质细胞激活标志物)增加(Liu 等人,2022 年)。
胆碱能神经传递由神经递质乙酰胆碱(ACh)介导,在学习和认知功能中起重要作用。ACh 水平下降程度与 AD 相关的记忆障碍病理生理学相关(Perry,1988 年)。乙酰胆碱酯酶(AChE)是一种胆碱能酶,可催化神经递质 ACh 水解为乙酰辅酶 A 和胆碱(图 12)(Talesa,2001 年)。先前的研究表明,在氯化铝诱导的大鼠 AD 模型中,铝暴露会导致 AChE 活性增加(Auti 和 Kulkarni,2019 年)。此外,有研究报道铝与 AChE 酶的外周位点相互作用,改变其二级结构,从而提高其活性(Talesa,2001 年)。因此,本研究结果表明,AChE 活性增加和 ACh 水平降低可作为氯化铝诱导斑马鱼 AD 的生物标志物。
与啮齿动物模型相比,斑马鱼在神经退行性疾病模型中的应用具有成本效益和时间效率方面的优势,但也存在一些局限性。由于小鼠和/或大鼠在进化上比斑马鱼更接近人类,因此斑马鱼研究结果需在小鼠和/或大鼠中重复验证后,才能应用于人类研究。本模型展现了 AD 的多数特征,但并未涵盖所有致病机制。未来需要开发和评估更具特异性的药物,以高特异性诱导斑马鱼 AD,并复刻 AD 的完整病理生理学特征。
总之,本模型展现了 AD 发病机制的多数特征,其中 0.02-0.04 mM 是最有效的浓度,可通过斑马鱼大脑中的氧化应激、神经炎症和胆碱能功能障碍诱导这些改变。浓度过高会导致斑马鱼死亡,而长期暴露于 0.04 mM 氯化铝可作为诱导斑马鱼 AD 病理特征的有效浓度。
该斑马鱼 AD 动物模型的有效性在很大程度上取决于其复刻 AD 病理生理学和症状的能力。该模型可作为一种可靠的斑马鱼模型,用于 AD 药物研发或 AD 病理生理学分子机制研究,且所用物种成本相对较低,也可能成为推进神经退行性疾病药物研发领域的最佳模型。
5. 结论
本研究构建的氯化铝诱导斑马鱼 AD 模型可准确复刻人类 AD 的症状和发病机制,是一种合适的动物模型。这种新型且经济高效的 AD 模型可成功用于治疗药物筛选和 AD 发病机制的相关研究。
斑马鱼及相关实验技术
